Comment récupérer laccès au disque dur, corriger lerreur dimpossibilité douvrir le disque dur
Dans cet article, nous vous expliquerons comment récupérer l'accès à votre disque dur en cas de panne. Suivez-nous !
La signification des symboles masculins et féminins populaires d’aujourd’hui n’est peut-être pas connue de tout le monde. Apprenons-en plus sur les symboles masculins et féminins !
Les symboles de genre sont probablement trop familiers pour nous tous. On le voit partout – des couvertures de livres aux colliers, en passant par les publicités – et il est toujours genré lorsque l’on va quelque part, notamment lorsqu’on va aux toilettes. Aujourd’hui, le symbole du genre féminin représente le féminisme, la fierté d’être une femme et la fierté de la sororité. Il existe également des versions du symbole de genre masculin et féminin représentant la fierté de diverses orientations sexuelles, c'est-à-dire qu'un symbole avec deux symboles masculins liés est le symbole utilisé par les hommes homosexuels, un symbole avec le genre du porteur se situant entre un symbole masculin et un symbole féminin représente la bisexualité, la communauté transgenre utilise quelques adaptations qui combinent les deux symboles ensemble ainsi que l'application du symbole de Mercure selon la signification de Linné (voir tableau), etc., etc.
Mais connaissez-vous l’origine de ce symbole bisexuel ? Sinon, découvrons-le ensemble !
Représentant deux planètes, deux métaux, le fer et le cuivre, et les dieux de l'Olympe, les symboles classiques des genres masculin et féminin portent beaucoup de significations cachées dans les lignes ondulées.
Les symboles eux-mêmes sont anciens et les associations remontent à l’aube de la civilisation. Les peuples anciens, après avoir observé les mouvements des planètes dans le système solaire, faisaient des prédictions sur les événements qui se produiraient dans le futur et croyaient que ces événements étaient liés par un lien de cause à effet. Ensuite, les anciens érudits ont commencé à mener des recherches plus logiques pour prédire et préparer avec précision l’avenir. Ils associaient également les planètes aux pouvoirs de leurs dieux gardiens Mercure, Vénus, Mars, Zeus (Jupiter) et Cronos (Saturne).

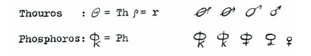
Chaque corps céleste, ainsi que son ange gardien, est associé à des éléments métalliques particuliers. Par exemple, le dieu solaire Hélios était associé au métal, en particulier à l’or ( Remarque : selon le spectre de la vision humaine, le Soleil est en fait blanc et non doré ) ; Le dieu Mars ( en grec : Thourus ) était associé au fer utilisé pour fabriquer des armes ; ou Vénus ( du grec Phosphore ) associée au métal plus doux cuivre peut devenir verte.
Lorsqu'ils écrivaient sur ces métaux, les Grecs les introduisaient sous les noms des dieux - des symboles combinés avec des lettres, après un certain temps une sorte de sténographie s'est formée ; par exemple Mars (Thourus) et Vénus (Phosphore) :

Au Moyen Âge, les alchimistes européens s'appuyaient sur les abréviations conservées pour la clarification et l'utilisation, comme le faisait le célèbre Carolus Linnaeus (le « père » de la taxonomie moderne et créateur du langage binaire populaire ), indiquant les métaux correspondants dans son étude de 1735 Systema Naturae.
Linné fut également le premier à utiliser ces symboles dans un contexte biologique dans son traité Plantae Hybridae de 1751, lorsqu'il utilisa le symbole Vénus pour représenter la femme et le symbole Mars pour représenter l'homme . Linné a ensuite continué à utiliser des symboles pour distinguer les sexes masculin et féminin et, dans « Species Plantarum » en 1753, il utilisait généreusement des symboles.
Après Linné, d’autres botanistes ont commencé à utiliser des symboles, tout comme les scientifiques d’autres domaines, notamment la zoologie, la biologie, l’anthropologie et finalement les généticiens.
De nos jours, la génétique moderne n'utilise plus les symboles familiers et, à la place, le genre est représenté sur la base d'un carré pour l'homme et d'un cercle pour la femme :

Ces symboles ont été développés par Pliny Earle, un neurologue new-yorkais, en 1845, alors qu'il expliquait l'hérédité du daltonisme :
Afin d'illustrer clairement la prévalence de cette particularité physiologique dans la famille, j'ai préparé le tableau généalogique ci-joint. Les hommes sont représentés par des carrés et les femmes par des cercles.
Afin d'illustrer clairement cette particularité du rapport physiologique dans les familles, j'ai préparé les tableaux généalogiques ci-joints. Les hommes sont représentés par des carrés et les femmes par des cercles.
Bien qu'il ne soit pas clair pourquoi Earle a choisi de ne pas utiliser de symboles classiques, une explication ultérieure a été proposée par un membre de la Royal Society - Sir Edward Nettleship a déclaré qu'Earle « n'aurait pas pu utiliser ces caractères classiques sur la presse... sauf par ceux employés dans l'impression de musique ».
Questions fréquemment posées sur les symboles de genre féminin et masculin
Comment taper des symboles féminins sur ordinateur ?
Comment taper le symbole masculin sur l'ordinateur ?
À quoi ressemble le symbole féminin ?
Cela ressemble à un cercle avec une croix qui en sort.
Voici quelques autres symboles de genre que vous devriez connaître :
En bref:
Les symboles masculins (♂) et féminins (♀) que nous voyons couramment aujourd’hui – par exemple dans les toilettes publiques, en biologie, etc. – ont en fait une origine très intéressante et ancienne, remontant à l’Antiquité, avec des liens entre l’astronomie, l’astrologie et la mythologie gréco-romaine.
1. Symbole masculin : ♂
Plus tard, le biologiste du XVIIIe siècle Carl Linnaeus a utilisé ce symbole pour représenter le sexe masculin dans les descriptions biologiques.
2. Symbole féminin : ♀
Dans cet article, nous vous expliquerons comment récupérer l'accès à votre disque dur en cas de panne. Suivez-nous !
À première vue, les AirPods ressemblent à n'importe quel autre écouteur sans fil. Mais tout a changé avec la découverte de quelques fonctionnalités peu connues.
Apple a présenté iOS 26 – une mise à jour majeure avec un tout nouveau design en verre dépoli, des expériences plus intelligentes et des améliorations des applications familières.
Craving for snacks but afraid of gaining weight? Dont worry, lets explore together many types of weight loss snacks that are high in fiber, low in calories without making you try to starve yourself.
Rest and recovery are not the same thing. Do you really need rest days when you schedule a workout? Lets find out!
Les étudiants ont besoin d'un ordinateur portable spécifique pour leurs études. Il doit être non seulement suffisamment puissant pour être performant dans la filière choisie, mais aussi suffisamment compact et léger pour être transporté toute la journée.
L'ajout d'une imprimante à Windows 10 est simple, bien que le processus pour les appareils filaires soit différent de celui pour les appareils sans fil.
Comme vous le savez, la RAM est un composant matériel essentiel d'un ordinateur. Elle sert de mémoire pour le traitement des données et détermine la vitesse d'un ordinateur portable ou de bureau. Dans l'article ci-dessous, WebTech360 vous présente quelques méthodes pour détecter les erreurs de RAM à l'aide d'un logiciel sous Windows.
Refrigerators are familiar appliances in families. Refrigerators usually have 2 compartments, the cool compartment is spacious and has a light that automatically turns on every time the user opens it, while the freezer compartment is narrow and has no light.
Wi-Fi networks are affected by many factors beyond routers, bandwidth, and interference, but there are some smart ways to boost your network.
Si vous souhaitez revenir à la version stable d'iOS 16 sur votre téléphone, voici le guide de base pour désinstaller iOS 17 et rétrograder d'iOS 17 à 16.
Le yaourt est un aliment merveilleux. Est-il bon de manger du yaourt tous les jours ? Si vous mangez du yaourt tous les jours, comment votre corps va-t-il changer ? Découvrons-le ensemble !
Cet article présente les types de riz les plus nutritifs et comment maximiser les bienfaits pour la santé du riz que vous choisissez.
Établir un horaire de sommeil et une routine de coucher, changer votre réveil et ajuster votre alimentation sont quelques-unes des mesures qui peuvent vous aider à mieux dormir et à vous réveiller à l’heure le matin.
Get Bathroom Tower Defense Roblox game codes and redeem them for exciting rewards. They will help you upgrade or unlock towers with higher damage.